研究中收集和储存前列腺特异性抗原检测阴道标本的最佳方法
2024-01-03 10:14:21 点击数:在阴道液中检测到的前列腺特异性抗原(PSA)可用于艾滋病毒/性传播感染(STI)和妊娠预防的研究,作为依赖参与者精液暴露报告的替代方案。尚未确定收集和储存该测试样本的最佳方法。
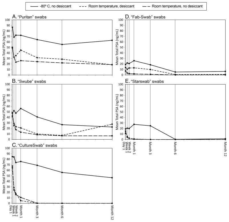
研究设计: 我们对 550 个加入精液的样本进行了受控体外实验,以确定拭子类型(五种)、拭子储存条件(室温,有或没有干燥剂或 -80°C 没有干燥剂)的影响以及从收集到检测 PSA 鉴定的时间(12 个月内有 7 个间隔)。我们进行方差因子分析以确定影响 PSA 检测的因素。
结果: 在一年的实验中,拭子中检测到的 PSA 浓度随着储存时间的延长而下降 (p<.01)。采集后立即保存在 -80°C 下的 1 mL 人造丝拭子表现最佳。
结论: 如果无法立即检测或冷冻保存,研究者应使用容量为 1 mL 的拭子,在标本采集后尽快进行处理和检测。


